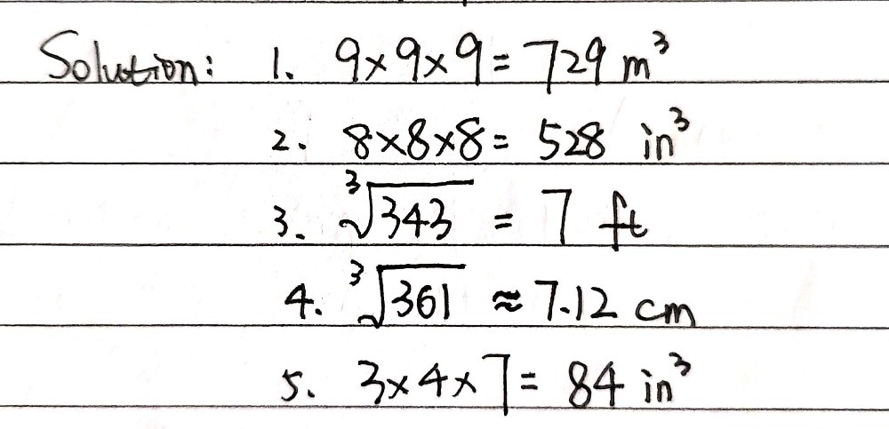
What Is Volume Of Cube - Welcome To The Topic On Volume Recap Area - Label it with the given information.
Get link
Facebook
X
Pinterest
Email
Other Apps
What Is Volume Of Cube - Welcome To The Topic On Volume Recap Area - Label it with the given information.. A face of a cube is a square. Label it with the given information. Step 1 is the same for both 1. The volume of a rectangular prism can be determined by multiplying length (l) x width (w) x height (h). Get the definition, formulas, standard units, and example problems in the following sections.
Learn its easy definition, surface area and volume formula, properties along with solved examples at byju's. If one of the sides is not the same then this is a rectangular prism. You're in the right place!whether you're just starting out, or need. The diagonal cuts the cube into two 45 degree angles. Volume of a cube formula the volume of a cube can be calculated if you know its side length.
Volume Of Rectangular Prisms Review Article Khan Academy from cdn.kastatic.org In other words, a positive whole number multiplied by itself twice gives a cube number. If we were able to pack the box perfectly, such that there was no space in the box that wasn't filled, and we could tape it closed perfectly, the volume of the box is the amount of stuff we packed in. See step 1 below for a detailed breakdown of these processes. Hence, the volume of a cube is the amount of space it occupies in all the three dimensions. The length, width, and height. For example, if the length is 4 cm, the width is 6 cm, and the height is 7.5 cm, the volume is 4 x 6 x 7.5, or 180 cm^3. 6 cm x 6 cm x 6 cm = 216 cm^3 think about building this large cube with small 1cm cubes. A cube has three fundamental dimensions:
Heres is a calculator that calculates the volume of a cube.
The volume of a cube is the amount of space it contains. It is the product of length, breadth, and height. So, volume of a cube = x 3 For example, if the length is 4 cm, the width is 6 cm, and the height is 7.5 cm, the volume is 4 x 6 x 7.5, or 180 cm^3. In other words, it is the cube of one side. Learn its easy definition, surface area and volume formula, properties along with solved examples at byju's. A cube is 2.5 2.5 inches on each side. Q1 what is the volume of a cube with a side length of 10 metres? Volume of cube = a3 The bottom layer will contain 36 small cubes, 6 wide x 6 deep. Need help with how to find volume? Volume can be calculated by multiplying the length by width by height. 6 cm x 6 cm x 6 cm = 216 cm^3 think about building this large cube with small 1cm cubes.
The diagonal cuts the cube into two 45 degree angles. Need help with how to find volume? The length, width, and height. The volume of a cube the number of cubic units that a cube occupied is called the volume of the cube. A cube has three fundamental dimensions:
How To Find The Volume Of A Cube Easily Math Wonderhowto from img.wonderhowto.com Heres is a calculator that calculates the volume of a cube. How to find the volume of a cube recall that a cube has all edges the same length (see cube definition). Thus, it is easy to find the volume of a cube given the length of one edge. The cube is also known as a regular hexahedron and is one of the five platonic solid shapes. The volume of the cuboid is the product of the length, breadth, and height, colloquially dubbed as 'lbh'. Since a cube's sides are all equal in length, another way of thinking of a cube's volume is s3, where s is the length of one of the cube's sides. Hence, the volume of a cube is the amount of space it occupies in all the three dimensions. The volume of a rectangular prism can be determined by multiplying length (l) x width (w) x height (h).
Thus, it is easy to find the volume of a cube given the length of one edge.
A cube has three fundamental dimensions: What is the volume of 4cm cube? How to find the volume of a cube recall that a cube has all edges the same length (see cube definition). The formula is then volumecube = side3. The diagonal cuts the cube into two 45 degree angles. A cube with a side of 2 units would have a volume of 2 x 2 x 2 = 8 units cubed. And 2., so we will show it just once. Note that cube numbers are formed from whole numbers to the power of three. The bottom layer will contain 36 small cubes, 6 wide x 6 deep. Hence, the volume of a cube is the amount of space it occupies in all the three dimensions. Volume can be calculated by multiplying the length by width by height. It is defined as the side times side. So if the length of an edge is 4, the volume is 4 x 4 x 4 = 64
A face of a cube is a square. The unit of volume of the cube is given as the (unit) 3 or cubic units. Note that cube numbers are formed from whole numbers to the power of three. Welcome to finding volume with unit cubes with mr. It is defined as the side times side.
Calculating Volume Skillsyouneed from www.skillsyouneed.com Step 1 is the same for both 1. The volume of a cube is the amount of space it encloses. It is the product of length, breadth, and height. The volume of a rectangular prism can be determined by multiplying length (l) x width (w) x height (h). If we were able to pack the box perfectly, such that there was no space in the box that wasn't filled, and we could tape it closed perfectly, the volume of the box is the amount of stuff we packed in. Label it with the given information. Need help with how to find volume? Since a cube's sides are all equal in length, another way of thinking of a cube's volume is s3, where s is the length of one of the cube's sides.
Heres is a calculator that calculates the volume of a cube.
The volume of a cube is defined as the number of cubic units occupied by the cube. If one of the sides is not the same then this is a rectangular prism. See step 1 below for a detailed breakdown of these processes. Q1 what is the volume of a cube with a side length of 10 metres? A cube is 2.5 2.5 inches on each side. The volume of a cube is found by multiplying the length of any edge by itself twice. The unit of volume of the cube is given as the (unit) 3 or cubic units. The length of the hypotenuse equals leg length√2. Get the definition, formulas, standard units, and example problems in the following sections. So if the length of an edge is 4, the volume is 4 x 4 x 4 = 64 For any cuboid of length l, breadth b, and height h, the volume 'v' is equal to lxbxh. Volume can be measured in cubic units (e.g., cm³, m³, ft³). Note that cube numbers are formed from whole numbers to the power of three.
In other words, it is the cube of one side what is volume. The volume of a cube can be found using the edge of the cube (a) and cubing it, or by using the diagonal and the formula {eq}v=(√3/9)d^3 {/eq} to unlock this lesson you must be a study.com.
Leo Borg Mutter : Schulpferdeschool horses - Berggut Gaicht : My name is leo borg and i'm a tennis player from sweden. . Dies waren die worte, die mutter patricia benutzte, als der kleine borg der familie offenbarte, dass trotz des wunsches seiner eltern, ihn zu anderen zielen umzuleiten, setzte leo borg seinen weg. Leo borg, son of time grand slam champion bjorn borg, to fell to. Height, photos & stats of all atp & wta players including leo borg. Cnn sport had an exclusive interview with leo borg, the son of wimbledon legend bjorn borg, after his first foray on the london grass. Full report for the itf antalya 19 game played on 11.05.2021. Leo borg, son of time grand slam champion bjorn borg, to fell to. Lernen sie die übersetzung für 'mutter' in leos englisch ⇔ deutsch wörterbuch. Corey the buttercream dream forrester. Fick hem igår#playstation5 #ps5 #playstation.olet estänyt käyttäjän @leo_borg. Jag visste inte om saker som var med i filmen ...
Adam Vojtěch - Mgr Adam Vojtech Ministr Zdravotnictvi Ceske Republiky - May 26, 2021 · adam vojtěch (for yes), who is returning to the head of the ministry of health, resigned from the position of chairman of the board of the regional health service. . Babiš vojtěchadam vojtěch ministr zdravotnictví zlatá mříž 2006 koronavirus 2020 superstar He previously served in the same position from 13 december 2017 to 21 september 2020, in both the first and second cabinets of prime minister andrej babiš. More images for adam vojtěch » The latest tweets from @adamvojtechano Adam vojtěch (born 2 october 1986) is a czech politician and lawyer who has served as minister of health since may 2021. Od prosince 2017 do září 2020 byl 20. Babiš vojtěchadam vojtěch ministr zdravotnictví zlatá mříž 2006 koronavirus 2020 superstar Od prosince 2017 do září 2020 jsem zastával funkci. Studijní stáž university college dublin national university of ireland Ministrem zdravotnictví čr v první a p...
Hsbc Düsseldorf / Hsbc Trinkaus Wikipedia : We did not find results for: . Check spelling or type a new query. We did not find results for: Maybe you would like to learn more about one of these? Check spelling or type a new query. We did not find results for: Maybe you would like to learn more about one of these? Architekturdarstellung Kresings Architektur Dusseldorf Hsbc from www.loomn.de Maybe you would like to learn more about one of these? We did not find results for: Check spelling or type a new query. Check spelling or type a new query. We did not find results for: Maybe you would like to learn more about one of these? Check spelling or type a new query. We did not find results for: Maybe you would like to learn more about one of these? Check spelling or type a new query. ...
Comments
Post a Comment